1639
kémia meg minden....
-
#999
Na ehhez én ma már kevés vagyok :D -
#998
oké holnap lehet megcsinálom
-
#997
Na akkor most külön-külön az Sn1 és Sn2 reakciómechanizmust c:
(csak viccelek, habár nem olvastam végig de kilóra is szép mennyiség) -
#996
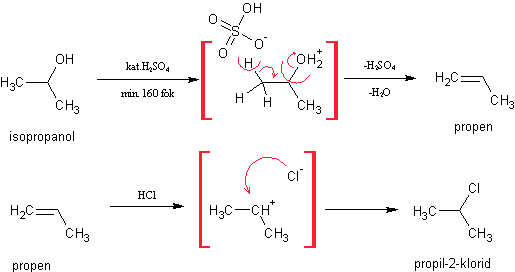
Ahogy ígértem, megtartom a bemutatót;
A prop-1-én és H-Cl elektrofil addíciója
Először vegyük szemügyre a két molekula szerkezetét, és közben elmagyarázom a kifejezéseket is.
A prop-1-én, vagy propén az alkének közé tartozik (olefin), ez ugy-e azt jelenti, hogy a közönséges alkánok σ (szigma) kötéseihez képest π (pi) kötést is tartalmaz.
A prop-1-én, ahogy a nevében is szerepel, 1 π-kötést tartalmaz a C1 és C2 között, ha a C2 és C3 között lenne, az ugyanaz a molekula lenne, ezért el is lehet hagyni a prop-1-én ből az 1-est, ami a π-kötés helyét jelöli.
Amint tudjuk a π-kötés többek között abban különbözik a σ-kötéstől, hogy, nem a szóban forgó atomok között a legnagyobb az elektronsűrűség, hanem a π-kötés elektronjai a két atomot összekötő képzeletbeli sík alatt és felett tartózkodnak.
A képen bejelöltem a π-kötés helyét, jól látszik a két lebeny; azért különböző színűek, mert az őket leíró hullámfüggvény különböző előjelű; a hullámfüggvény a csomósíknál mindig előjelt vállt, és a π-kötésnek a két atomot képzeletben összekötő síkban, csomósíkja van, ez növeli a kötésben szereplő elektronok energiáját.
HOMO-nak (Highest Occupied Molecular Orbit) nevezzük azt a molekulapályát (MO), amelyen alap állapotban a legmagasabb energiájú elektronok vannak, ezután jön a LUMO (Lowest Unoccupied Molecular Orbit), itt alapállapotban nincs elektron, de ha gerjsztjük a HOMO elektronokat, akkor azok a LUMOra fognak kerülni, valamint a molekula ha egy reakcióban elektronokat kap, akkor azok szintén a LUMOra kerülnek.
A képen bejelöltem a π pályához tartozó LUMOt (π*), ezt egyébként lazító-pályának is hívják, ezért csillagozzák, a nem lazító pályák a kötő pályák, pl a π MO.
Jól látható, hogy a π*-nak még egy csomósíkja van, ami az előző csomósíkjára merőleges. Ez azért fontos, mert ha elektronok kerülnek erre az MO-ra, akkor azok nem fogják a kötést erősíteni, hiszen a két C atomtól elkülönítve fognak tartózkodni és nem a két atom körül, ahogy a π-kötés esetében. Ezért ha a π*-ra kerülnek elektronok, megbomlik a π-kötés.
Ezen a képen az látható, hogy a π-kötés körül a legnagyobb az elektronsűrűség (kék->piros fele nő az elektronsűrűség), ami a fentiek alapján várható is volt, tehát ez a molekula legelektronegatívabb régiója, tehát egy pozitív töltésű szpéciesz itt támadna, hiszen itt a legnagyobb a Culomb-kölcsönhatás. A pozitívan töltött (parciálisan vagy teljesen) szpécieszeket a szerves kémiában általában elektrofileknek (pl proton) hívjuk, ők a negatívat kedvelik, a negatívan töltött (parciálisan vagy teljesen) szpécieszek (pl π-kötés, vagy klorid-ion) pedig általában a nukleofilek.
A HCl, amint tudjuk, nagyon poláros molekula, a Cl nagy és a H kis elektronegativitása miatt, ez a különbség az elektronsűrűség térképen is jól látszik, a Cl körül jóval nagyobb az elektronsűrűség.
Így már minden adott és érthető az alábbi reakcióhoz:
Első lépésben létezik a propén és a HCl disszociációjábol adódó H+ ás Cl-.
Amint az előbb megjegyeztük a H+ egy elektrofil, tehát betámad a propén π kötésére, amelynek a 2 elektronja így az új C-H σ-kötésbe kerülnek, hátrahagyva egy pozitív töltésű C atomot (karbokation), amely így elektrofil, és őt megtámadja a negatív töltésű klorid ion (nukleofil), megosztva vele a σ-kötéshez szükséges két elektront.
A C-H kötés viszont két helyen is kialakulhat: a C1-en és a C2-ön és ez azt jelentené, hogy kétféle termékünk lesz a végén, hiszen a Cl- pedig két helyre támadhatna. De csak egy termékünk van, és ezt a terméket Markovnyikov terméknek is nevezzük, mert a Markovnyikov szabálynak megfelelően keletkezett.
A Markovnyikov szabály azt mondja ki, hogy a halogenid magasabb rendű szénre fog betámadni. A C1 csak elsőrendű (primer), hiszen ehhez csak 1 C kapcsolódik, a C2 viszont másodrendű (szekunder), mert hozzá két C kapcsolódik, tehát a szabály szerint a halogenid ide fog támadni és ez így is történik.
Ennek az az oka, hogy két lehetséges karbokation (C1 és C2) termodinamikai stabilitása nem azonos. A C1 karbokation sokkal magasabb energiájú szpéciesz, mint a C2 karbokation és ez azt jelenti, hogy lassabban is fog képződni!
Azért stabilabb a szekunder karbokation, mert azt a két szomszédos metil csoport az ún. +I és hiperkonjugációs effektusával stabilizálja, ez nagy vonalakban abban nyilvánul meg, hogy a metil csoport C-H σ-kötésekből elektronokat szív el a karbokation, ezzel csökkentve az energiáját. -
pet0330 #995 Am a cinket próbáltad már vegyszerboltban??? ha jól tom engedély nem kell hozzá -
pet0330 #994 Engem érdekelne! :D
Jah és bocs tényleg elnéztem a neveket :) -
#993
egyébként ha titeket is érdekel, csinálok ide a topikba egy kisebb bemutatót a HCl addíciójáról az olefinhez (elektrofil addíció) az FMO elmélet alapján, SPARTAN-al modellezem a molekulapályákat és az elektroneloszlást és bemutatom a termodinamikai stabilitás következményeit is (Markovnyikov sz.) -
#992
a mechanizmus, ha minden igaz:
(a neveket egy kicsit összekeverted (; ) -
#991
igen úgy menne, 160° felett forró kénsavval az OH eliminálódik és olefin keletkezik (propén), aztán ezt H-Cl-el reagáltatva először karbokation keletkezik a Markovnyikov szabálynak megfelelően (a pozitív töltés a középső szénen lesz) és oda addícionálodik a Cl.
de ezeket nem tudom megcsinálni, mert nincs meg a berendezésem :D
egyébként az alábbi reakció azt hiszem h ZnCl2 katalizátorral végbemegy, csak Zn-t kell hozzá szerezzek (: -
pet0330 #990 Jah meg természetesen sok sok hő :D -
pet0330 #989 Szerintem tömény kénsav katalizátorral igen :D
Mondjuk az úgy menne h csinál belőle pentént és utána addícionálja a HCl-t de a végeredmény ugyan az.
Csak az alkohol+kénysav=etén és etén+hidrogén-halogenid=etil halogenidből gondoltam :D nem biztos h jó -
#988
Szerintetek lejátszódik ez a reakció valamilyen körülmények között?
-
lally #987 Másodszorra megnézve sem tűnt fel benne számomra a nyomásmérő.
De, Te; Okvetlen szerelj bele ! -lehetőleg precizíósat.
(Nem véletlenül beszéltem korábban a "lavóros_Víz-súlyzárról".)
Én még anno 70Ft-ért vettem egy (1db, kicsi,) jénai-köcsögöt.
Most már ez is; sokszorosan drágább.
(Üvegben gyártva a pia, egyébként is elveszíti az igazi_zamatát.) -
lally #986 A vicces az egészben, hogy még az átkos-szocializmusban is, csak a likőrök voltak 30-33%-osak ! -bár, a Bádel-RumPunch is közelebb állt a 60%-hoz, mint az 52%-höz.
-...ja, és legalább 50%-os "piatartalom" kell még ahhoz is, hogy meg lehessen azt gyújtani.
Nesze neked Te Gundel-palacsinta !
(Állítólag, vannak még olyan bacik is, amik beledöglenek a vízbe, tehát a "cVacak"-nyira_dekantált cefrefőzőüstök mosogatói levébe. -?!) -
#985
én is iylet akarok !!!!!! (: -
lally #984 Egy kis Hungarikumos történelmi Bio-Kémia:
(~ 1700 -) - 1955-ig, hazánkban, egy picurka-településen élőknek, többnyire csak 4 fontos alapgyógyszere volt otthon (, doki legközelebb, ~20 kilóméterre):
-1; Legalább 70%-os Pálinka ! -> Sebre; Lázra; Bacikra; ...
(-szégyenünk lett újabban; a Miszter-Unájkumusunk: "15%-os Szeszesital"-i szabványa !)
-2; (-igen tiszta) Disznózsír. -> Sebre; ...
-3; (-forró) Ecet -> Sebre; Tetvekre; ...
-4; Só -> Felsőlégúti kacatokra; ... -
#983
Igen, nem rossz ötletek; egyébként van egy desztilláló lombikom, egy eltört hoffman hűtőm és egy jó allihn kondenzálóm, csak az illesztéseket kéne megoldjam valahogy.
Ha elkezdődik a következő félév a szervetlen laborban megkérdezem mennyiért vesztegetnek egy készüléket... -
lally #982 Bocsi a #szám elcsúszásért; Neked kimondottan gratulálni szerettem volna !
Maradj továbbra is ilyen, kémia-stréber ! -
lally #981 Sejtettem azt, hogy nem éppen desztvizet akarsz gyártani.
http://www.sg.hu/listazas.php3?id=1176629159
-ott talán nyersz ötletet.
A '30-as években a borbélyok még legálisan használhattak kb 10literes réz-lepárlót.
(Semmiképp se PéBé-gázzal tüzelj alatta!)
Lackoooo #978-as ötlete sem rossz, bár én a fedelét, zománcozott lavórral üzemeltetném.
-
#980
hát elég sok minden szétválasztására jó lenne.
Először is van jópár liter 1 éves fügeborom, kíváncsi lennék milyen a párlata.
Aztán láttam egy videót, hogy hogy kell limonint kinyerni a narancs héjából, ezt is kipróbálnám.
+következő félévtől lesz szerves laborom, biztos ott is lesz pár érdekes dolog
(: -
#979
yea -
Lackoooo #978 Úgy kicsit olcsóbb, ha egy fazékban melegíted az X anyagot és a fedeléről lecsöpögteted a desztillátumot vagy hogy a rákba nevezik. 
Amúgy mit akarsz desztillálni?
-
Lackoooo #977 Hello.
Na örüljetek, mert a középiskolai kémia versenyen 1. helyezést értem el kb. 30 ember közül.(Petrikben)








-
#976
nem tudjátok h hol és kb mennyiért lehetne egy desztillálókészüléket venni? olyantól kérdem, aki már ténylegesen látott is valahol, mert gugliban én is találtam (: -
#975
Sziasztok.
egy kis segítséget szeretnék kérni,vizsgára kellene.
Milyen kémiai reakciókon alapszik a I2-dal szennyezett kloroform tisztítása? -
Nuki #974 Nos én lelkesen régen (egyetemi pályafutásom elején) elkezdtem fordítgatni szócikket (pl nemesgázokról) de aztán abbamaradt mert jött az egyetem és mások lettek a prioritások aztán meg el is felejtettem.
Ki kéne írnom egy cetlire ide az asztalomra, de igazából annyi más szabadidős foglalkozást is kéne csinálnom (mást fordítani, más wikit szerkeszteni, művelődni, japánt tanulni) így vizsgaidőszak után, hogy már az sok.
De azért köszönöm hogy így eszünkbe juttattad, hátha nem csak üres ígéret marad. -
lally #973 Hősi tetted, a nevében is, megköszönöm!
(-bízom benne, nem is olyan nagyon bukott meg; E_KÉMek vizsgáján ... !
-mer'; Legalább 30pontot, má' csak az itteni alapokkal is, simán szerezhetett.)
-de például az: Exikátorról; Ti is írhatnátok ám, még a "hu.Wiki..."-re is egy szócikket! -
Nuki #972 Írtam neki, pontosabban válaszoltam.
A számolósak nem olyan nehezek, csak egy kis gondolkodás meg általános iskolai fizikai tudás kell hozzá ;) -
#971
Mérgező, szerintem sehol nem adnak. -
Lackoooo #970 Hello.
Megmondanátok nekem hogy galliumot honnét lehet szerezni?
-
lally #969 Okay!
A számolásos példákkal kérd meg "Nuke; Nuki VIP"-et. Ő, a kézi megoldását be tudja ide is "szkennerelni".
A16 és B10 faktoros feladataidra a választ, szintén a #957-es összeállításomból,
és még a hu.wikipedia-ból is kiollózhatod.
(-itt, az "sg.hu" lapon, még egy piti-szöveget bekópizni sem nagyon tudok.) -
icemankimi #968 áá az nem úgy megy 100 pontos és el kéne érni 51 pontot és épül rá tárgy az a baj, de puskázni is lehet a tanárnál mert már idős és nem figyel annyira. -
Albertus #967 Igazad lehet. KOH is lehet a megoldás.
Viszont attól félek, hogy akinek az exikátorral gondja van, azon a válaszok bemagolása nem segít, ha az egész szemeszter kevés volt.
Jobbán jár, ha kihagyja most ezt a ZH, vizsgát és újra felveszi a következő félévben.
Iszonyú égés, ha úgy jut el a diplomáig, hogy ennyire alapvető dolgokat nem tud.
És ismerjük el, hogy a leendő beosztottak (például: laboránsok) égetik le.. Mert abban biztosak lehetünk, hogy ha más nem, de ők élvezettel szórakoznak egy diplomás tudatlanságán. -
lally #966 A18-ra, Albertus jóval többet tudna érdemben nyilatkozni, mint én.
-de addig is olvasd el a "színfizika" google találatát.
(Ui.: KCl-re rádumáltátok ugyan a "kisKölköt", de én még a;
KOH-t sem zárnám ki ! -ja, mer' felsőfokon, ezt tartom "sokkal izgisebbnek".) -
lally #965 IcemanKimi! -> #954.
A1; kérdésre:
Tehát: egy jó nagy (, és igen nehéz) üvegköcsög, aminek az "üvegdugós" tetejét csak vízszintes csúsztatással (, kín keservesen) mozgatva nyithatod ki. -a zárófelületek légmentes célú lezsírozásai miatt.
Ui.: A7 kérdésedre a választ, inkább az én #957-es dumámból hámozd ki, mintsem a "hu.Wiki...." lapról. -
icemankimi #964 1 féléves tantárgy csak és kémiából soha semmit nem tudtam:S
-
Nuki #963 De hát mit tanulsz? -
Albertus #962 Akkor nagy kalappal a szerencséből!
És imádkozz is.. Hátha segít. -
icemankimi #961 hétfőn lesz
nekem úgy lenne jó, hogy kérdésekre legyenek válaszolva úgy megtudom tanulni.
(KCI AZ KOI igen) -
Albertus #960 Bár, ahogy látom, még nagyobb az a gáz.. KCl ..helyett jól látom KOl?






