4415
Matematika feladatok
-
#2534
már rájöttem :) -
#2533
Játékelmélet, Lineáris programozás.
Ismerem a megoldási folyamatot, ha minden egyenlőtlenség kisebb nagyobb, és akkor is ha van egy egyenlet, vagy nagyobb-egyenlő. De ha 2 vagy több ilyen is van akkor mi a teendő? Tud vki segíteni?
köszi -
#2532
Ez nekem eléggé érdekes eredményeket ad ki:D -
#2531
http://www86.wolframalpha.com/ -
#2530
[URL=http://www19.wolframalpha.com/input/?i=sin^2(x)%2Bcos^2(x)&t=ff3tb01]miert nem sikerul[/URL] -
#2529
Ellenőrizd le!!!!
[URL=http://www19.wolframalpha.com/input/?i=sin^2(x)%2Bcos^2(x)&t=ff3tb01]Feladatokhoz[/URL] -
#2528
és miért hülyeség? -
amiron #2527 Igen ezt írtam, hogy erre hülyeség jön ki. -
#2526
sin^2(x)+cos^2(x)=1
sin^2(x)=1-cos^2(x)
cos(x)=3*(1-cos^2(x))
cos(x)-et elnevezed mondjuk "a"-nak,és megoldod az egyenletet. -
amiron #2525 Sziasztok!
Az alábbi feladathoz szeretnék segítséget kérni:
cos(x)=3*sin^2(x)
Olyan alakra hoztam, hogy 2.fokú egyenlet legyen cosx-re nézve, de úgy hülyeséget ad a 2.fokú egyenlet megoldóképlete, Vagy tényleg nincs megoldása?
Másik kérdés, hogy a sin^2(x)=cos^2(x), milyen x-ekre igaz? -
#2524
Igen ez az köszi mindenki!! szuper! 

-
#2523
hát az elsőt teljes indukcióval vezetném le, de arra itt sem hely, sem időm nincsen. (bebizonyítod az állítást n=1 -re (1+3=2^2), majd igazolod, hogy ha n-re igaz, akkor n+1-re is.)a második meg pofonegyszerű, ha 20 dobozban van 1 utalvány 100%-kal, akkor 10 dobozan van 50%-kal. -
szakidevil #2522 Ha levezetést is leírnád nagyon megköszönném!
-
#2521
nyilván 20 dobozonként, ha jól értem a feladatot. -
#2520
az első n páratlan szám összege n^2 -
szakidevil #2519 vagy ebben nagyon fontos lenne!
Egy cégnél az általuk forgalmazott édességet úgy kívánják népszerűsíteni, hogy egyes dobozokba nyereményutalványt rejtenek el. A vezetőség szerint az akció akkor hatásos, és a költség is elviselhető, ha kb. 50% valószínűséggel talál legalább 1 utalványt az a vevő, aki 10 dobozzal vásárol a termékből. Hány dobozonként kell ehhez utalványt tenni? -
szakidevil #2518 Kérem segítsetek!
Melyek azok a számtani sorozatok, amelyekben az első n elem összege minden n-re négyzetszám? -
#2517
Emberek hát senki nem akar itt gondolkodni? :) -
#2516
jobban mondva x=1 jó eredmény, ha behelyettesítesz, akkor látod -
#2515
nekem x=1 , mi a jó eredmény? -
WTSherman #2514 Próbáltam ezzel a módszerrel megcsinálni, és nem jön ki jó eredmény... más próbálta megoldani? -
xDJCx #2513 Ha jól értem, ez a feladat:
9^x+6*3^x-27=0
= 3^(2*x)+6*3^x-27=0
vezess be új ismeretlent, y=3^x, ezzel
y^2+6*y-27=0 másodfokú egyenlet y-ra
stb... -
#2512
Sziasztok!
Tudnátok segíteni, hogy ennek kifejezésnek az értékei mikor lesznek prím számok?
6x^2-167x-4823 -
#2511
9az x ediken és 3 az xediken -
#2510
sziasztok. ma kaptam egy ilyen exponenciális példát és nemigen tudtam vele mitkezdeni, 3 úton elidultam, nem sikerült, de valaki letudná vezetni helyesen? előre is köszönöm.
x x
9 + 6*3 -27 = 0 -
#2509
nem teljesen matek, de valaki nem tudja, hogy hogyan kell osztalékot számolni egy számviteli példánál? -
#2508
Mert nem emlékeztem rá,és pénteken ellenőriztük. -
WTSherman #2507 Köszönöm. -
gerrob #2506 Tízszer elolvastam, de a 2485-ös feladatleírásodban még nem írtad ezt, hogy "az az ív, amin C nincsen". -
#2505
Benne volt a feladatban,hogy az az ív,amin C nincsen rajta,szóval tényleg. -
gerrob #2504 A kört két pontja két körívre bontja. Azért, mert plusz pont(ok) vannak a körön attól a körív nem szűnik meg. -
gerrob #2503 Az A mátrix invertálható, mert determinánsa nem nulla.
AX-I=A
AX=A+I
X=A^(-1)*(A+I)=
[10/7 2/7 -1/7]
[-6/7 10/7 2/7]
[4/7 -2/7 8/7] -
WTSherman #2502 |1 0 1|
|2 1 0|=A
|0 2 3|
csak szóközöket kivette magától... -
WTSherman #2501 Hi all!
Olyan gondom lenne, hogy matekvizsgán mátrixműveletet kéne elvégezni, de erről a kedves tanárunk baszott tanítani bármit is.
Utána néztem valamennyire, és egyszerű összeadást-kivonást el tudok végezni, de az előző vizsgán adott feladatról fogalmam sincs, mi mit jelenthet.
Ez volt az:
Oldja meg az AX - I = A mátrixegyenletet, ahol
|1 0 1|
A=|2 1 0| teljesül.
|0 2 3|
Segítségeteket előre is köszönöm! -
#2500
Azt viszont megnézném,hogy hol a 2. ív.Van AB,BC,CA ív,amit én látok. -
#2499
Tudom mit hogy jelölnek,ezért nem volt gőzöm sem,hogy mit csináljak,amikor megláttam a angy c-t:) -
pet0330 #2498 Szia!
http://www86.wolframalpha.com/ Ide beíros és kiírja a lépéseket is .
-
Realtibi #2497 Nekem is lenne egy kérdésem mégpedig a következö:
Mik az intergárljai a következöknek:
1/gyökx
|X|
1-|x|
x-1\x+1
2x-1\x+1
x a köbön\ xnégyzet - 1
Előre is köszönöm -
Realtibi #2496 Mi ezt pivotálással oldottuk meg, mégpedig a szimplex algoritmus segitségével. -
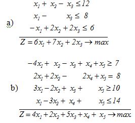
#2495
Sziasztok!
Mátrixokkal kapcsolatban van pár dolog ami még nem tiszta, pl ez a feladat:
Oldja meg az alábbi lineáris programozási feladatot!
Ilyennel még nem találkoztam, órán csináltunk pár lineáris függetlenség megállapítást bázistranformációval, azt értettem is, de erről nem volt szó, a próbavizsgán persze ott van.
Hogy kell megcsinálni? Segítsetek plz!