A vulkánok leállása vezethetett a "hógolyó Földhöz"
Jelentkezz be a hozzászóláshoz.
A történelem nagy tragédiája, hogy az Aurora helyett a Titanic süllyedt el. (Meg az, hogy a világot elárasztották a konteóhív?k...) i5-2400S 2.5GHz, HD7850 2GB, 8 GB RAM
Jól megizzadtam ezzel a rajzzal, 1 órát tököltem vele, és ez az eredmény... ÁÁÁÁÁÁÁ!!!
na még egyszer
Rövid magyarázat az ábrához:
Jelöljünk ki a gömbhéj belsejében BÁRHOL egy P pontot.
Az ábrának megfelelõen a ponton átmenõ egyenest forgassuk meg, hogy egy (nagyon kis nyílásszögû) kúpfelületet súroljon.
Ez a kúpfelület a gömbhéj felületén két kört (A1 és A2 felületû köröket) jelöl ki, melyek a P ponttól d1 ill. d2 távolságra vannak.
Nem nehéz belátni, hogy A1/A2 = d1_négyzet/d2_négyzet (nem tudok képletet szerkeszteni, azért ilyen körülményesen írom)
A két kis kör tömege -- mivel a gömbhéj homogén anyagú és azonos vastagságú -- arányos a felülettel (A1 ill. A2)
A gravitációs erõ a távolság (d1 ill. d2) négyzetével fordítva arányos, a tömeggel pedig egyenesen. A vonzó tömeg viszont az A1 ill. A2 felületekkel.
Tehát a P pontban az A1 ill. A2 körök felõl jövõ, azonos nagyságú de ellentétes irányú gravitációs erõk pont kiegyenlítik egymást.
De minden tiszteletem annak, aki ezt ÍGY kiintegrálja.
Epikurisz most integrál:-)))
Epi: polárkoordináta rendszerben csináld, amelynek középpontja az a pont (a gömbhéj belsejében) amelyben a gravitációs erõ vektorát vizsgáljuk.
Nem kell feltétlenül integrálni, józan paraszti ésszel is belátható a zéró gravitáció. Mindjárt rajzolok.
Kara kánként folytatom tanításom.
Egy magyarhoz is köthetõ.
http://en.wikipedia.org/wiki/Shell_theorem
"rohadtul nem értem a gravitációt. Ti sem értitek, de ez most mellékes. :-)"
Az, hogy nincs ember a földön, aki értené a gravitáció alapvetõ mibenlétét, még nem jelenti azt, hogy te akár csak megközelítõen annyira érted, mint pl. A1274815, akit olyan szépen leugattál. 😊 A hozzászólásaidban írt egyéb fizikai butaságokról nem is beszélve.
Nem leszólni akarlak, mert senki nem érthet mindenhez. De ha az ember valamihez nem ért, akkor legalább olvasson utána és ne ugassa le a nála az adott témában tájékozottabbakat.
http://magyarorszag21.blog.hu/2009/04/16/p1069869 \"Terrorists may attack the open society, but only governments can abolish it.\" (The Pirate Party)
Kara kánként folytatom tanításom.
Kara kánként folytatom tanításom.
Kérem még gondolkodási idõt. Mert ellustálkodtam, és egyébként rájöttem, hogy rohadtul nem értem a gravitációt. Ti sem értitek, de ez most mellékes. :-)
Azért, hogy ne legyetek annyira csalódottak, beteszem ezt az on-topik videót, és ezt a poént.
Tudom, kiszúrom a szemetek ezekkel, de tényleg kell még gondolkodnom. És nem a hármas integrál ijesztett meg, az a legkevesebb.
Kara kánként folytatom tanításom.
http://magyarorszag21.blog.hu/2009/04/16/p1069869 \"Terrorists may attack the open society, but only governments can abolish it.\" (The Pirate Party)
Szeressük sorsunkat, bármilyen is. Aki szeretni képes a rossz napokat, becsülni tudja majd a szép pillanatokat. Higgy az álmaidban! http://www.evanescence.com/
"Ráadásul a gravitáció sem pontszerû, az csak egy modell, hanem bazi sok kis olyan pont, különbözõképpen elosztva. Azaz befele csökken a gravitáció, de növekszik valóban a nyomás és..."
#61 Epikurosz:
""Azaz befele csökken a gravitáció,"
Köszönöm, ennyi elég is volt.
Kérem a következõt! "
#63 KillerBee:
"Csak hátrébb az agarakkal! A Föld közepe felé haladva valóban csökken a gravitáció, bár a nyomás természetesen nõ. Sõt, talán el sem hiszed, de a Föld tömegközéppontjában súlytalanságban lebeghetnénk, ha kibírnánk a hõmérsékletet és a nyomást."
#66 toto66:
"Attól hogy csökken a gravitáció, a nyomás még nõ a Föld közepe felé haladva."
#90 Epikurosz:
"Szerencsétek van, mert dolgoznom kell, de majd este jól beolvasok nektek! Be ám!"
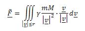
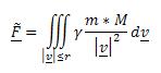
A képletre pedig ott a magyarázat a #91-ben, hogy mi kicsoda, csupán anyí, hogy a képletbõl kifelejtttem az írányvektort és azt hozzá kellett még raknom. ezt javítottam a #92-ben.
Remélem megválaszoltam a kérdésedet.
F az eredõ erõ íránnyal.
r a gömb sugara (tetszõleges)
gamma gravitációs állandó
m egy egyégnyi térfogat tömege, tetszõleges
M a középre elhelyezett próba tömeg
v futó válzozó lényegtelen.
Várom az F értékét.
Kara kánként folytatom tanításom.
Mindezekkel a tévedéseivel nem is lenne semmi baj, ha nem olyan bicskanyitogató hangnemben oktatná ki azokat, akik - õvele ellentétben - helyes dolgokat írnak. Lásd pl. a #61-et és az erre írt 63-as számú válaszomat. Nem lennék meglepõdve, ha elegánsan elsiklana a dolog fölött, csak hogy ne kelljen beismernie a felsülését.
Én alaposan meg szoktam figyelni, ki hogyan reagálja le és kommunikálja a tévedéseit. Ez igen sokat elárul az adott emberrõl.
http://magyarorszag21.blog.hu/2009/04/16/p1069869 \"Terrorists may attack the open society, but only governments can abolish it.\" (The Pirate Party)
Szerintem ezt nem nagyon lehet másképp értelmezni, csak úgy, hogy a nagy nyomás és a hõmérséklet között ok-okozati összefüggést feltételez. Ha mégsem így van, akkor viszont nem írta le, hogy szerinte mitõl nõ a hõmérséklet. De inkább az elõbbi, mivel azt is írta, hogy "nyomás(=hõ)".
Azért jó a fórum, mert csiszoljuk egymást, mind tudás, mind megfogalmazás terén. Üdv.!<#wave>#wave>
Mottó: olyan nincs hogy a gyermek nem érti, csak másképp érti... C:
Nos #83: Köszönöm az ábrát, valahogy ezen sem azt látom, hogy a vas a nyomás hatására válnék folyékonnyá.
http://magyarorszag21.blog.hu/2009/04/16/p1069869 \"Terrorists may attack the open society, but only governments can abolish it.\" (The Pirate Party)
A fázisdiagramot meg köszönjük, én is valami lyet kerestem, csak nem sikerült megtalálnom.
Mottó: olyan nincs hogy a gyermek nem érti, csak másképp érti... C:

Igen ezt. És azt, hogy a (nyíró) erõhatásnak egy érték alá csökkenésekor az alakváltozás újra leáll.
Valóban nem szükséges homogén gömb, csak egy-egy héjnak kell (önmagán belül) homogénnak lenni. Ez már elég ahhoz, hogy a gömbhéj BÁRMELY BELSÕ pontjában nulla legyen a térerõ (1/r2 tipusú távolságfüggés fontos).
(más erõterekre: ha a felület NEM gömb formájú akkor is lehet nulla a térerõ, például egy krumpli formájú Faraday-kalicka belsejében az elektromos térerõ... de vigyázat, ekkor a töltéseloszlás a krumpli felületén nem lesz egyenletes: a kisebb görbületi sugarú (de konvex) helyeken nagyobb lesz.)
Nem szeretek indulatból vitázni, de az ilyen mértékû beképzeltségnek és tudatlanságnak a párosítása nagyon fel tud bosszantani. Nem bírom megérteni, hogy aki a legalapvetõbb fizikai fogalmakkal sincs tisztában, sõt a olyan mértékben kutyulja õket össze, ahogyan még legvadabb álmomban sem gondoltam volna, hogy ilyen létezik, az hogy veszi a bátorságot, hogy ilyen lekezelõ hangnemben mindenki mást kioktasson, és közben egy percig nem hajlandó legalább belegondolni, hogy hátha õ téved.
"Folyáson" ugye azt érted, amikor az anyag a rugalmas alakváltozást követõ rugalmatlan alakváltozás után megfolyik? Anyagszerkezettanból oktatják, ha jól emlékszem. Többnyire húzóerõ alatt szokták vizsgálni.
Utánagoldoltam, nem is szükséges teljesen homogén sûrûségû anyag, az is elég, ha az egyes gömbhéjakban az anyag sûrûsége azonos (bár más-más gömbhéjakban lehet egészen más is, de egy-egy héjon belül azonos).
http://magyarorszag21.blog.hu/2009/04/16/p1069869 \"Terrorists may attack the open society, but only governments can abolish it.\" (The Pirate Party)
Elõször értelmezni kell, mit értünk egy anyag "folyékony" voltán. HA csupán annyit, hogy mindig kitölti a rendelkezésére álló teret, akkor lehet folyékonynak nevezni, más kérdés, hogy ez az elnevezés milyen gyakorlati probléma megoldását teszi könnyebbé... (SEMMILYET)
A gázok is kitöltik a rendelkezésre álló teret, ezzel az erõvel az igen nagy nyomás alatt álló anyagot gáznak is nevezhetnénk
Vagy ha a szilárd anyagok alakváltozását vizsgáljuk erõk hatására, akkor gyakran REPEDÉSEK képzõdését figyelhetjük meg. Kétségtelen, hogyha rendkívül nagy nyomás mellett tesszük ki az anyagot alakváltozásnak, akkor nem tudnak benne rések nyílni.
De ez NEM jelent folyékony halmazállapotot.
A "folyást" kiváltani képes járulékos erõhatás ugyanis drasztikusan kisebb lehet, mint a példabeli 600ezer bar (1%-a annak, ötvözetlen azaz lágyvas ezetén)
A lényeges eltérés a kétféle nyomás (erõ) között: a 600ezer bar MINDEN IRÁNYBÓL EGYFORMÁN ható, ún. hidrosztatikai nyomás, míg a folyást kiváltó erõhatás valamilyen nyíróerõt hoz létre.
1.) hogy a nagy nyomás szükségszerûen nagy hõmérsékletet jelent (vagy hoz létre)
Hogy véletlenül se lehessen félreérteni, NEM a nyomás NÖVEKEDÉSE közben, az összehúzódó anyagon az erõ hatására végzett munkára vezeted vissza a hõmérsékletet, hanem a nyomás folytonos meglétére. Biztos, hogy átgondoltad? Talán csak rosszul fogalmaztál.
2.) Bármely bolygó belseje felé haladva (amennyiben lehetséges volna) a gravitáció bizony a nulla felé közelít. Ennek oka az, hogy ha egy GÖMBHÉLY alakú, homogén sûrûség-eloszlású testet vizsgálsz, BÁRMILYEN TÉR, AMELY a távolsággal négyzetesen csökken, a gömbhéj belsejében NULLA EREDÕ (tér)erõt fog kelteni.
Utánasázmolhatsz analitikusn is (szimmetrikus azaz gömbhéjra meg lehet csinálni, még integrálni sem kell, csupán gondolkodni) vagy numerikusan (számítógéppel integrálod, ez a hosszadalmasabb és nagyon nem elegáns)
Így innen nem tudom bebizonyítani (talán nem is annyira fontos, legalábbis nekem)
A nyomás és a hõmérséklet viszonyáról: NE tévesszen meg a gázok viselkedése, és a földi légkör (részben) ebbõl fakadó hõmérséklet eloszlása. A légkör ugyanis NEM STATIKUS.
Képzelj el egy hatalmas nyomás-gépet egy laborban. Résmentes (szivárgásmentes) teret közbezáró, hatalmas szilárdságú szorítópofái között néhány gramm gránit (vagy bármilyen anyag)
A nyomás olyan hatalmas, hogy az anyag pontosan idomult a szorítópofák által közbezárt tér alakjához. Mintha folyékony lenne. Pedig NEM folyékony, PÉLDÁUL terjednek benne a transzverzális (nyírási) hullámok, de errõl késõbb.
A gép ott áll a laborban, szorítópofái között az anyaggal, a nyomás a pofák között 600ezer bar. (nagyságrendileg kb. ennyi van a Föld középpontja környékén)
Már 1 hónapja áll ott. A belsejében azzal az anyaggal, amit nem láthatsz a szemeddel és nem tapinthatsz, mert amint felszabadul a nyomás alól, azonnal visszaalakul valami normális-szerû anyaggá (nem biztos, hogy azzá ami a megnyomatás elõtt volt)
És most jön a kérdés: Mit értesz az összenyomott anyag HÕMÉRSÉKLETÉN? Nem a részecskék (hõ-, azaz rendezetlen) mozgását?
Az összenyomás folyamata nagy energiát emésztett fel, és ez felhevítette az anyagot. De az a hõ már távozott belõle. Hõvezetés útján. Most az az anyag, a szorítópofák között SZOBAHÕMÉRSÉKLETÛ. Szerinted nem?
HA nem, akkor mi tartja melegen? Mi az a FOLYAMATOS energia felszabadulás, amely a hõvezetés útján távozó hõenergiát folyamatosan pótolja?
A történelem nagy tragédiája, hogy az Aurora helyett a Titanic süllyedt el. (Meg az, hogy a világot elárasztották a konteóhív?k...) i5-2400S 2.5GHz, HD7850 2GB, 8 GB RAM
Dehát a tudomány fejlõdéséhez nemcsak a késõbb igazolt elméletek tartoznak hozzá.
http://magyarorszag21.blog.hu/2009/04/16/p1069869 \"Terrorists may attack the open society, but only governments can abolish it.\" (The Pirate Party)
Aha, csakhogy én is épp ezt írtam korábban:
"A nagy nyomás hatására képlékennyé válhat egy anyag, de attól nem lesz melegebb, max. valamelyest azért, mert a nyomás növekedése során súrlódnak a részecskéi, ha az anyag még tömöríthetõ."
Kissé még mindig pontatlanul fogalmazol és ezt most sem tisztáztad:
"A nyomáskor keletkezésekor pedig nem csak gázoknál van felmelegedés kalapálj meg egy vasdarabot észlelni fogod"
A nyomás hatására a gázok azért melegednek fel, mert csökken a térfogatuk, lásd gáztörvények. Alapvetõen hibás ugyanezt a mechanizmust alkalmazni a vasra, amely a megmunkáláskor szokásos nyomáson összenyomhatatlan. Ugye te is érted, hogy a kalapács által a vasra gyakorolt nyomás (jobb itt az erõ szót használni) nem az a nyomás, amivel a gázokat nyomjuk össze? A vasra a kalapács azért tud erõt kifejteni (ellentétben pl. a szinte teljesen rugalmatlan iszappal), mert a rugalmasság határán belül a vas tárolja a kalapács energiáját kb. úgy, mint egy rugó, azaz a kalapács rövid úton munkát végez és ezt a munkát a vas tárolja. Ám a vas ezt nem hõ formájában tárolja, hanem rugalmas alakváltozás formájában és a rugalmas alakváltozással tárolt energia nem is alakul hõvé, hanem a kalapács elvételekor "visszarúgja" a kalapácsot. (OK, ennek elég kis része valóban hõvé alakul.)
http://magyarorszag21.blog.hu/2009/04/16/p1069869 \"Terrorists may attack the open society, but only governments can abolish it.\" (The Pirate Party)
Mottó: olyan nincs hogy a gyermek nem érti, csak másképp érti... C:
A kalapácso dolog:
És igen mechanikai energia, amely nyomássá alakul egy rövid idõre, a nyomás egyrésze (csak kialakuásakor) mechanikai munkát végez, és ez hõ formályában végzi (na meg alakváltozásban). Azért jó példa mert amikor a kalapács alatt kialakul a nyomás, keletkezik hõ is, de a továbbiakban (pl.: légkalapács) hiába nyomja egyenletes erõvel az anyagot nem fejlõdik több hõ.
Tehát gyakorlatilag ugyan azt mondtuk, de azért szólítottalak meg, mert az ellenkezõjét gondoltad az én régebbi hozzászólásomról.
Epikurosznak pedig igaza van, hogy a fémek "folynak" nagy nyomás alatt, de nem a hõ miatt. Más kérdés, hogy a Föld belsejében még hõ is van nem kevés. De az nem a nyomástól származik.
Mottó: olyan nincs hogy a gyermek nem érti, csak másképp érti... C:
Kara kánként folytatom tanításom.
Azt ugye belátjuk, hogy egy égitest középpontja felé egyre nõ a nyomás, és annál nagyobb lesz, minél nagyobb az égitest tömege. A nyomás növekedése a hõmérséklet növekedésével is jár, és amikor ez eléri az adott kõzet, anyag olvadáspontját, akkor az az anyag megolvad, nincs mese.
Ha a nyomás még nagyobb, akkor kialakul a fémmag - feltéve, hogy van fém (általában lenni szokott).
Különben nem fogjátok elhinni, de a Hold szerkezete hasonlít a Földéhez.
Kara kánként folytatom tanításom.
"Attól hogy csökken a gravitáció, a nyomás még nõ a Föld közepe felé haladva."
Ne gondold, hogy olyan tanulatlan vagyok, amilyennek nézel engem. 😊
http://magyarorszag21.blog.hu/2009/04/16/p1069869 \"Terrorists may attack the open society, but only governments can abolish it.\" (The Pirate Party)
Azt sehol nem állítottam, hogy az állandó nyomás folyamatos hõfejlõdéssel jár. Azt hiszem, másnak kellene címezned ezt a mondatot.
"A nyomáskor keletkezésekor pedig nem csak gázoknál van felmelegedés kalapálj meg egy vasdarabot észlelni fogod"
Ugye nem azt akarod állítani, hogy a vas kalapálásakor a nyomás növekedése miatt keletkezik hõ??? Na ne! Ha ez így lenne is, akkor a vas minden alkalommal visszahûlne, amint leveszed róla a kalapácsot.
A kalapált vas azért melegszik fel, mert mechanikai energiát közölsz vele, amely deformációt okoz, vagyis belsõ súrlódást. Ennek semmi köze a nyomáshoz.
http://magyarorszag21.blog.hu/2009/04/16/p1069869 \"Terrorists may attack the open society, but only governments can abolish it.\" (The Pirate Party)
A nyomáskor keletkezésekor pedig nem csak gázoknál van felmelegedés kalapálj meg egy vasdarabot észlelni fogod, de az állandó nyomás nem jár hõfejlõdéssel, még a gázok esetében sem.
Mottó: olyan nincs hogy a gyermek nem érti, csak másképp érti... C:
Mottó: olyan nincs hogy a gyermek nem érti, csak másképp érti... C:
Ez annyiban nem egészen pontos, hogy a Föld anyaga nem egyenletes sûrûségû és a fent írtak csak egyenletes sûrûség esetén állnak pontosan. De a lényegen nem változtat, vagyis hogy elõbb érdemes lenne gondolkodni és csak azután leültetni valakit egyessel. 😊
http://magyarorszag21.blog.hu/2009/04/16/p1069869 \"Terrorists may attack the open society, but only governments can abolish it.\" (The Pirate Party)
"Azaz befele csökken a gravitáció,"
Köszönöm, ennyi elég is volt.
Kérem a következõt!
Csak hátrébb az agarakkal! A Föld közepe felé haladva valóban csökken a gravitáció, bár a nyomás természetesen nõ. Sõt, talán el sem hiszed, de a Föld tömegközéppontjában súlytalanságban lebeghetnénk, ha kibírnánk a hõmérsékletet és a nyomást.
http://magyarorszag21.blog.hu/2009/04/16/p1069869 \"Terrorists may attack the open society, but only governments can abolish it.\" (The Pirate Party)
"a molekuláris kötések szétszaggatásával rettenetesen sok hõ tud felszabadulni."
Vagy éppen sok energiát igényelhet a kötések szétszaggatása, attól függõen, endotherm vagy exotherm folyamat hozta létre a kötést.
"ugye már érthetõ, hogy a kis bolygóknak miért nincs olvadt magja, sem vulkanizmusa? "
Vagy talán inkább mert a tömeg/felület hányadosuk sokkal kisebb, ezért gyorsabban kihûlnek?
http://magyarorszag21.blog.hu/2009/04/16/p1069869 \"Terrorists may attack the open society, but only governments can abolish it.\" (The Pirate Party)